Resolver problemas con sistemas de ecuaciones es una de las aplicaciones más útiles del álgebra, ya que permite representar situaciones reales con expresiones matemáticas y encontrar soluciones precisas.
Mira aquí el video del tema,
¿Qué es un sistema de ecuaciones?
Un sistema de ecuaciones es un conjunto de dos o más ecuaciones que tienen variables en común.
El objetivo es encontrar los valores de esas variables que satisfacen todas las ecuaciones al mismo tiempo.
Por ejemplo:
Resolver este sistema significa encontrar los valores de x y y que hacen verdadera ambas ecuaciones.
Métodos para resolver sistemas de ecuaciones
Existen diferentes formas de resolverlos:
- Método de sustitución: se despeja una variable y se sustituye en la otra ecuación.
- Método de igualación: se igualan las expresiones de una misma variable.
- Método de reducción: se suman o restan ecuaciones para eliminar una variable.
Cada método tiene su utilidad, dependiendo del tipo de problema que se enfrente.
Aplicaciones en la vida real
Los sistemas de ecuaciones permiten resolver problemas como:
- Calcular precios de productos en conjunto
- Analizar mezclas o proporciones químicas
- Determinar rutas o distancias
- Balancear presupuestos
En todos estos casos, las ecuaciones nos ayudan a traducir una situación real al lenguaje matemático.
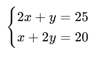
Ejemplo práctico
Problema:
En una feria, dos personas compraron diferentes combinaciones de entradas y bebidas.
Sabemos que:
- 2 entradas y 1 bebida cuestan Q25.
- 1 entrada y 2 bebidas cuestan Q20.
Para saber cuánto cuesta cada producto, podemos plantear:
Resolviendo el sistema, encontramos que: La entrada cuesta Q10
La bebida cuesta Q5
¡Así de útil puede ser el álgebra en tu vida diaria!
Aprender con PRONEA
El Programa Nacional de Educación Alternativa –PRONEA– del Ministerio de Educación de Guatemala brinda oportunidades de aprendizaje flexible para jóvenes y adultos que desean retomar sus estudios.
Con materiales claros, ejemplos prácticos y acompañamiento pedagógico, cada video te ayuda a fortalecer tu razonamiento lógico y tu confianza para resolver problemas.
Conclusión
Los problemas con sistemas de ecuaciones no solo enseñan a calcular, sino a razonar, analizar y resolver.
Con PRONEA, las matemáticas se convierten en una herramienta útil para tu vida personal, laboral y académica.
¡Aprende, analiza y resuelve con confianza!



Leave a Reply