La potenciación y radicación de polinomios son operaciones fundamentales en el álgebra que permiten simplificar expresiones y resolver problemas más complejos. Comprender estos procesos ayuda a fortalecer el pensamiento lógico y la seguridad al trabajar con expresiones algebraicas.
🎥 Observa el video siguiente
🔢 ¿Qué es la potenciación de polinomios?
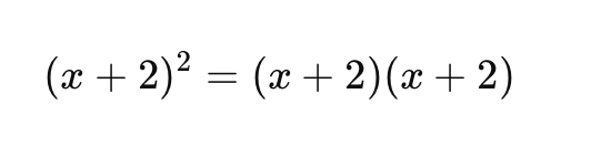
La potenciación consiste en elevar un polinomio a una potencia determinada.
Por ejemplo:

Este procedimiento requiere aplicar correctamente la multiplicación de polinomios y las propiedades de los exponentes.
📐 ¿Qué es la radicación de polinomios?
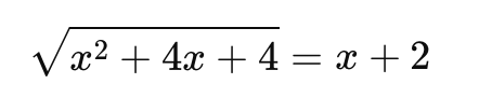
La radicación es la operación inversa de la potenciación. Consiste en encontrar un polinomio que, elevado a cierta potencia, produce el polinomio original.
Ejemplo:

Comprender la radicación ayuda a simplificar expresiones y verificar resultados.
🛠️ Importancia en el aprendizaje matemático
La potenciación y radicación de polinomios son herramientas clave para avanzar en el estudio del álgebra. Con práctica y una buena guía, cualquier persona puede dominarlas. Estas operaciones son esenciales para:
-
Resolver ecuaciones algebraicas.
-
Simplificar expresiones complejas.
-
Prepararse para temas como funciones, factorización y ecuaciones polinomiales.
Además, fortalecen la precisión y el orden al trabajar con números y variables.
🎓 Aprender con PRONEA
El Programa Nacional de Educación Alternativa –PRONEA– del Ministerio de Educación de Guatemala brinda oportunidades de aprendizaje flexibles, claras y adaptadas a jóvenes y adultos que desean retomar o continuar su formación académica.
Cada video está diseñado para que el aprendizaje sea comprensible, útil y aplicable.
👉 Con PRONEA, aprender matemáticas es un paso firme hacia nuevas oportunidades educativas y personales.

Leave a Reply