Ecuaciones de segundo grado
Las ecuaciones de segundo grado son una parte fundamental del álgebra, ya que permiten resolver problemas donde la incógnita está elevada al cuadrado.
¿Qué es una ecuación de segundo grado?
Una ecuación de segundo grado tiene la forma:

Donde:
- a, b y c son números reales
- x es la incógnita
En el video informativo aprenderás cómo resolver ecuaciones de segundo grado paso a paso de forma sencilla. Mira:
¿Cómo se resuelven?
Existen diferentes métodos para resolver ecuaciones de segundo grado paso a paso:
- Factorización: Consiste en expresar la ecuación como el producto de dos factores.
- Fórmula general: Permite encontrar las soluciones directamente.

3. Completación de cuadrados: Método útil para transformar la ecuación en una forma más sencilla.
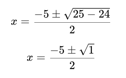
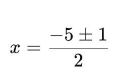
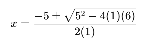
Ejemplo básico de ecuaciones cuadráticas
Resolver: x² + 5x + 6 = 0
Sustituir los valores: a = 1; b = 5; c = 6.
Completamos la fórmula general:

Resultado: x = -2 y x = -3
Aprende con PRONEA
El Programa Nacional de Educación Alternativa (PRONEA) del Ministerio de Educación brinda oportunidades educativas a jóvenes y adultos que desean finalizar su formación académica y mejorar sus oportunidades de desarrollo.
Inscríbete y sigue avanzando hacia nuevas oportunidades a través de la educación.
Síguenos en nuestras redes sociales y visita nuestro portal:
Facebook: https://www.facebook.com/pronea.edu.gt
YouTube: www.youtube.com/@pronea.502
TikTok: https://www.tiktok.com/@pronea.edu
Página web: www.portal.pronea.gt

Leave a Reply